Mathematical and Physical Journal
for High Schools
Issued by the MATFUND Foundation
Already signed up?
New to KöMaL?

Problem A. 576. (December 2012)

A. 576. Find all positive integers n, nonzero reals c_1,c_2,\ldots,c_n and real t for which there exists a finite, nonempty set \{A_1,A_2,\ldots,A_n\} of points in the plane S and a nonconstant function f\colon S\to\mathbb{R} such that


\sum_{i=1}^n c_if\big(\varphi(A_i)\big)=t

for every similarity transformation \varphi of the plane S.

Proposed by: Tamás Ágoston, Budapest and Márton Mester, Cambridge

(5 pont)

Deadline expired on January 10, 2013.


Sorry, the solution is available only in Hungarian. Google translation

Megoldás: Legyen tetszőleges \varphi-ra P1,i=\varphi(Ai) minden i-re. Legyen Q egy minden P1,i-től különböző pont a síkon. Ekkor legyen a Q középpontú, P1,1-et P1,i-be vivő (egyértelmű) forgatva nyújtás aránya \lambdai, szöge (pozitív irányban) \alphai minden i-re. A P1,1 középpontú, \lambdaj arányú, \alphaj szögű forgatva nyújtás vigye a P1,i pontot a Pj,i pontba minden i és j esetén.

Ekkor P1,1=P2,1=...=Pn,1, valamint minden j-re a P_{j,1},P_{j,2},\ldots,P_{j,n} pontokhoz van olyan {\cal G}_j hasonlósági transzformációja S-nek, hogy minden i-re {\cal
G}_j(A_i)=P_{j,i}, hiszen ez a \varphi és a P1,1 középpontú, \alphaj szögű, \lambdaj arányú forgatva nyújtás egymásutánja.

És minden i\geq2-re létezik S-nek olyan {\cal F}_i hasonlósági transzformációja, hogy minden j-re {\cal
  F}_i(A_j)=P_{j,i}. Ugyanis ha {\cal F}'_i az az egyértelmű körüljárástartó hasonlósági transzformációja S-nek, melyre Q képe P1,1, és P1,1 képe P1,i, akkor a \varphi és a {\cal
  F}'_i szorzata megfelel {\cal F}_i-nek. Hiszen minden j-re a Pj,i pont definíciója szerint a P1,iP1,1Pj,i irányított szög \alphaj=P1,1QP1,j\angle, és {\overline{P_{1,1}P_{j,i}}\over\overline{P_{1,1}P_{1,i}}}=\lambda_j={\overline{QP_{1,j}}\over\overline{QP_{1,1}}}, vagyis {\cal F}_i(A_j)={\cal F}'_i\left(\varphi(A_j)\right)={\cal
  F}'_i(P_{1,j})=P_{j,i}.

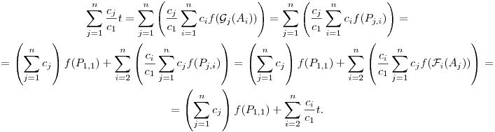
Így az f-re adott föltételt használva

\displaylines{
\sum_{j=1}^n{c_j\over c_1}t=\sum_{j=1}^n\left({c_j\over c_1}\sum_{i=1}^n c_if({\cal G}_j(A_i))\right)=
\sum_{j=1}^n\left({c_j\over c_1}\sum_{i=1}^n c_if(P_{j,i})\right)=\cr
=\left(\sum_{j=1}^nc_j\right)f(P_{1,1})+
\sum_{i=2}^n\left({c_i\over c_1}\sum_{j=1}^n c_jf(P_{j,i})\right)=\left(\sum_{j=1}^nc_j\right)f(P_{1,1})+
\sum_{i=2}^n\left({c_i\over c_1}\sum_{j=1}^n c_jf({\cal F}_i(A_j))\right)=\cr
=\left(\sum_{j=1}^nc_j\right)f(P_{1,1})+\sum_{i=2}^n{c_i\over c_1}t.\cr
}

Ebből azonnal adódik, hogy

f(P_{1,1})\sum_{j=1}^nc_j={c_1\over c_1}t=t,

azaz ha \sum_{j=1}^nc_j\neq 0, akkor minden \varphi esetén, és így minden P1,1 pontra

f(P_{1,1})={t\over\sum_{j=1}^nc_j},

vagyis f mindenképpen konstans függvény.

Ha \sum_{j=1}^nc_j=0, akkor a föntiekből t=0 is rögtön adódik. Ha n=1, akkor c1=0, és a föltétel üres (0=0), így nyilván van nemkonstans megoldás. Ha n=2, akkor c2=-c1, így a föltétel az, hogy tetszőleges P,Q\inS esetén (két különböző pont tetszőleges két másik különböző pontba átvihető hasonlósági transzfromációval) c1f(P)-c1f(Q)=0, vagyis f(P)=f(Q), azaz ekkor a függvény mindenképpen konstans. A továbbiakban az n\geq3 esettel foglalkozunk.

Jó nemkonstans f függvényt pedig mindig tudunk találni az A ponthalmaz alkalmas választásával. Ha az S sík pontjait megkoordinátázzuk, akkor legyenek az A_1,A_2,\ldots,A_n pontok koordinátái rendre (x_1,0),(x_2,0),\ldots,(x_n,0), ahol ezekre \sum_{i=1}^nc_ix_i=0, az f függvény pedig képezze az (x,y) pontot az x-be. Ez a függvény nemkonstans, és belátjuk, hogy teljesíti a föltételeket.

(Ilyen tulajdonságú, különböző xi-ket mindig tudunk választani, hiszen ha az x_1,x_2,\ldots, xn-1 értékeket tetszőleges különböző valós számoknak megválasztjuk, akkor cn\neq0 miatt ezekhez egyértelműen létezik egy jó 
x_n=-{\sum_{i=1}^{n-1}c_ix_i\over c_n}. És ha ez valamelyik xi-vel egyenlő lenne, akkor egy j\neqi, 1\leqj\leqn-1 egészre az xj értékét egy olyan \varepsilon-nal megnövelve, hogy \varepsilon>0, és \left|{c_j\over
    c_n}\right|\varepsilon+\varepsilon<\min\limits_{1\leq k<\ell\leq
  n-1}{\left|x_k-x_{\ell}\right|} (ilyen \varepsilon van, hiszen cn\neq0, és a kifejezésben x_k\neq x_{\ell}), a kapott x_1',x_2',\ldots,x_n' jó lesz (az xn' értékét az új xk' értékekből számoljuk). Ugyanis az xj\varepsilon-nal, az xn csökken {c_j\over c_n}\varepsilon-nal, a többi xk pedig nem változik. Így \varepsilon>0 és cj>0 miatt xn'\neqxi=xi', és az \varepsilon-ra adott föltétel miatt \left(1+\left|{c_j\over
      c_n}\right|\right)\varepsilon<|x_i-x_j|=|x_n-x_j|, vagyis xn'\neqxj', valamint minden i,j-től különböző k-ra \left(1+\left|{c_j\over
      c_n}\right|\right)\varepsilon<|x_i-x_k|=|x_n-x_k|, így xn'\neqxk'. És végül ugyanemiatt xj' se lesz egyenlő semelyik xk'-vel sem. Tehát valóban jó xk értékeket kaptunk.)

Ha tekintjük a \varphi(A)=\{\varphi(A_1),\varphi(A_2),\ldots,\varphi(A_n)\} halmazt, akkor azon az egyenesen, melybe a \varphi az x-tengelyt vitte, vagyis amelyiken ezek a pontok vannak, a hasonlóság miatt a \varphi(Ai) pontok ugyanolyan arányokban osztják a \varphi(A1)\varphi(A2) szakaszt (negatív arányokat is megengedünk, az osztási arányon az \varphi(A1)\varphi(Ai) és a \varphi(Ai)\varphi(A2) irányított szakaszok arányát értve), mint az Ai az A1A2 szakaszt. Így ez akkor is igaz, ha a \varphi(Aj) pontok helyett ezeknek az x-tengelyre vett merőleges vetületeit nézzük, és így a \varphi(Aj) pontok xj'-vel jelölt x-koordinátáira vannak olyan \lambda és s valós számok, hogy minden j-re

xj'=\lambdaxj+s.

Így

\sum_{i=1}^nc_if(\varphi(A_i))=\sum_{i=1}^nc_i(\lambda
x_i+s)=\lambda\sum_{i=1}^nc_ix_i+s\sum_{i=1}^nc_i=\lambda\sum_{i=1}^nc_ix_i,

amiről pedig már A megválasztásánál biztosítottuk, hogy 0 legyen.

Tehát pontosan akkor létezik a kívánt tulajdonságú f függvény és A ponthalmaz, ha \sum_{i=1}^nc_i=0, t=0, és n\neq2.


Statistics:

1 student sent a solution.
1 point:1 student.

Problems in Mathematics of KöMaL, December 2012