A 2000 márciusi A-jelű matematika feladatok megoldása
A közöltek csak megoldásvázlatok, esetleg csak végeredmények. A maximális pontszám eléréséhez általában ennél részletesebb megoldás szükséges. A részletes megoldásokat a beküldött dolgozatok alapján a KöMaLban folyamatosan közöljük.
A. 233. Definiáljuk az (an) sorozatot a következőképpen: a0=a1=1, (n+3)an+1=(2n+3)an+3nan-1. Mutassuk meg, hogy a sorozat egész számokból áll.
Megoldásvázlat. A rekurzió alapján a sorozat első néhány eleme: a0=1, a1=1, a2=2, a3=4, a4=9, a5=21, a6=51, a7=127, a8=323, a9=835, a10=2188.
Bebizonyítjuk, hogy tetszőleges n nemnegatív egészre
(2) an+2=an+1+
akan-k.
Ebből a feladat állítása azonnal következik.
A (2) azonosság n
8-ra
leellenőrizhető a fenti adatok alapján, például n=4 esetén
a5+a0a4+a1a3+a2a2+a3a1+a4a0 = 21+1.9+1.4+2.2+4.1+9.1 = 51 = a6.
A (2) azonosságot n szerinti teljes indukcióval
bizonyítjuk. Az n=0,1,2 esetekben
behelyettesítéssel ellenőrizhető. Tegyük fel, hogy (2) igaz
n<m-re, ahol m
3;
ebből bebizonyítjuk az n=m esetre is. Az indukciós
feltevés és az (1) rekurzió többszöri felhasználásával
(m+4)(am+1+
akam-k)=
=(m+4)am+1+
(k+2)akam-k+
(m-k+2)akam-k=
=(m+4)am+1+(2a0am+3a1am-1+
((k+2)ak)am-k) +(
ak((m-k+2)am-k)+3am-1a1+2ama0)=
=(m+4)am+1+4am+6am-1+
((2k+1)ak-1+3(k-1)ak-2)am-k +
ak((2m-2k+1)am-k-1+3(m-k-1)am-k-2)=
=(m+4)am+1+4am+6am-1+
(2k+3)akam-1-k+
3(k+1)akam-2-k +
(2m-2k+1)akam-1-k+
3(m-k-1)akam-2-k=
=(m+4)am+1+4am+6am-1
+((2m+4)
akam-1-k-6a0am-1)+3m
akam-2-k=
=(m+4)am+1+4am+(2m+4)
akam-1-k
+3m
akam-2-k=
=(m+4)am+1+4am+(2m+4)(am+1-am)+3m(am-am-1)=
=(3m+8)am+1+mam-3mam-1=
=((2m+5)am+1+3(m+1)am)+((m+3)am+1-(2m+3)am-3mam-1)=
=(m+4)am+2+0=(m+4)am+2.
Megjegyzések.
1. A (2) azonoságot nem csak próbálgatással lehet megtalálni. Tekintsük az
f(x)=a0+a1x+a2x2+...
függvényt. (Nem nehéz végiggondolni, hogy an
3n, és ezért a
hatványsor konvergens |x|<
esetén.) Az (an) sorozat definíciójából megállapítható,
hogy az f függvényre teljesül a következő
differenciál-egyenlet:
(3) f(0)=1, (x-2x2-3x3)f'(x)+(2-3x-3x2)f(x)+2=0.
A (3) egyenletet megoldva (fáradságos, de megéri) kapjuk, hogy
Ezt átrendezve pedig az
(4) x2f2(x)+(x-1)f(x)+1=0
azonosságot kapjuk. A (4) azonosságban az együtthatók vizsgálatából kapjuk a (2) azonosságot.
2. Az (an) sorozat egy másik előállítása:
Itt
egész, ez az
úgynevezett k-adik Catalan-szám.
A. 234. Az A, B, és C betűk felhasználásával szavakat (véges hosszúságú betűsorozatokat) készítünk. Egy szóval a következő műveleteket végezhetjük:
a) A szóban kiválasztunk néhány egymás utáni betűt - esetleg csak egyetlen egyet, vagy akár a teljes szót -, és ,,megduplázzuk'', például BBCAC
BBCABCAC;
b) Az a) lépés visszafelé: Ha valahol a szóban két egymás utáni részlet megegyezik, akkor az egyiket elhagyjuk: ABCABCBC
ABCBC.
Igazoljuk, hogy ilyen lépések sorozatával bármelyik szóból eljuthatunk egy legfeljebb 8-betűs szóhoz.
Megoldásvázlat. Ha az u és v szavak átalakíthatók
egymásba, azt így fogjuk jelölni: u
v, és azt mondjuk, hogy a két szó ekvivalens. Az
u és v szavak egymás után írását pedig uv-vel
jelöljük.
Először bebizonyítjuk a következő lemmát.
Lemma. Ha az u szó az A, B, C betűk mindegyikét
tartalmazza, akkor tetszőleges v szóhoz létezik olyan w
szó, amelyre uvw
u.
Bizonyítás. Ha v csak egyetlen betű, akkor - mivel u ezt a betűt is tartalmazza -, u felírható u=u1vu2 alakban; ekkor legyen w=u2. Ezzel a választással
uvw=(u1vu2)vu2=u1((vu2)(vu2))
u1(vu2)=u.
Az általános esetben legyenek v betűi sorrendben
a1,...,ak.
Mint láttuk, választhatók olyan w1,...,wk szavak, amelyekre
(ua1)w1
u,
(ua1a2)w2
ua1, ...,(ua1...ak)wk
ua1...ak-1. Ekkor
u
ua1w1
ua1a2w2w1
...
ua1...akwk...w1=uv(wk...w1),
vagyis w=wk...w1 egy jó választás. Ezzel a lemmát igazoltuk.
Legyen most a egy olyan szó, amely legalább 9 betűből áll. Megmutatjuk, hogy ez ekvivalens egy rövidebb szóval.
Legyen a=bcd, ahol b az első 4 betűt tartalmazza, d pedig az utolsó 4-et. Könnyű ellenőrizni, hogy ha b vagy d csak kétféle betűből áll, akkor tartalmaz két megegyező, egymás utáni részletet, és ilyenkor a b) lépés közvetlenül alkalmazható.
Ha b és d mindhárom fajta betűt tartalmazza, akkor
megmutatjuk, hogy a
bd. A
lemma alapján létezik egy olyan e szó, amelyre
b(cd)e
b, és
létezik egy olyan f szó is, amelyre def
d. Ezek felhasználásával
a=bcd
bc(def)
bc(dedef)=(bcde)(def)
bd.
Megjegyzések. 1. Nem minden 9-betűs szó hossza csökkenthető csupán a b) lépéssel. Sőt, akármilyen hosszú szó készíthető, amelyben nincs két egymás utáni megegyező részlet.
2.Egy lehetséges megoldás, ha a szavak kezdeteit vizsgálva minden esetre megadunk egy eljárást, amellyel a legalább 9-betűs szavak hossza csökkenthető, Pl.
AAx
Ax;
ABAAx
ABAx;
ABABx
ABx;
ABACAAx
ABACAx;
ABACABAAx
ABACABAx;
ABACABABx
ABACABx;
ABACABACx
ABACx;
ABACABBx
ABACABx;
...
ABACBCACB
ABACBCACBCB
ABACBCB.
(Az utolsó szó tovább rövidíthető az ABACB szóvá.)
A fennmaradó esetekben több lépésre van szükség. A megoldásban látott algoritmus ezekre nem a legrövidebb megoldást adja, pl. az a=ABCBACABC, szóra alkalmazva b=ABCB, c=A, d=CABC, e=ABACACBABCB és f=CBABACBACACACABABCABC. A leghosszabb szó, amelyre az eljárás során szükség van, a 46-betűs
bcdedef = ABCBACABCABACACBABCBCABCABACACBABCBCBABACBACACACABABCABC
szó. Ugyanakkor az ABCBACABC szó egyszerűbben is lerövidíthető, például
(1) ABCBACABC
ABCBACABCBC
ABCBACABCBABCBC
ABCBACABCBACBABCBC
ABCBACBABC
ABCBABC.
3. A feladat (kissé más megfogalmazásban) a Keszthelyen, 1999. július 28. és augusztus 2. között, egyetemisták és főiskolások részére megrendezett nemzetközi matematikaverseny (6th International Mathematics Competition for University Students) egyik feladata volt. Az (1) azonosság a szófiai egyetem egyik versenyzőjétől, Najden Kamboucsevtől származik.
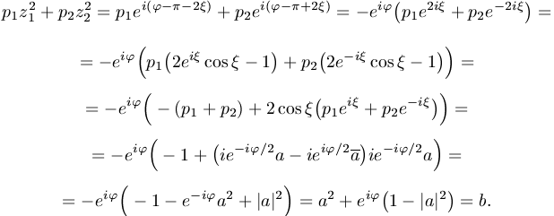
A. 235. Legyen a adott komplex szám. Mi a mértani helye azon b komplex számoknak, amelyekhez léteznek olyan nemnegatív x1,x2,...,xn valós számok és egységnyi abszolút értékű z1,z2,...,zn komplex számok, hogy x1+x2+...+xn=1, x1z1+x2z2+...+xnzn=a és x1z12+x2z22+...+xnzn2=b?
Megoldásvázlat. Legyen b=p1z12+...+pnzn2. Megjegyezzük, hogy a és b abszolút értéke is legfeljebb 1 lehet, mivel egységnyi komplez számok súlyozott átlagai.
Azt állítjuk, hogy a keresett halmaz az a2 középpontú, 1-|a|2 sugarú körlemez.
Először is megmutatjuk, hogy b biztosan eleme a
körlemeznek. Legyen
. Ekkor
tetszőleges
szögre, felhasználva a
cos 2t=1-2sin2t
azonosságot, a súlyozott számtani és négyzetes közép közötti
egyenlőtlenséget valamint a Re z2=(Re z)2-(Im z)2
azonosságot,
vagyis
(1)
Ha
-t éppen
b-a2 argumentumának
választjuk, akkor (1) baloldalán |b-a2| áll. Ezért |b-a2|
1-|a|2, vagyis
b eleme az a2
középpontú, 1-|a|2 sugarú zárt
körlemeznek.
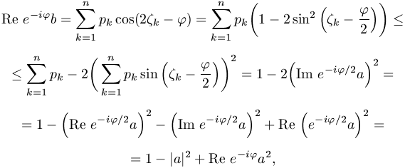
Most megmutatjuk, hogy ha |b-a2|=1-|a|2, akkor léteznek olyan p1, p2 nemnegatív valós számok és z1, z2 egységnyi abszolút értékű komplex számok, amelyekre p1+p2=1, p1z1+p2z2=a és p1z12+p2z22=b, vagyis a körlemez határpontjai megfelelőek.
Legyen a b-a2 szám
argumentuma
, és vizsgáljuk meg,
hogy (2)-ben mikor áll egyenlőség. Az egyenlőséghez szükséges és
elegendő, ha a
és
szögek szinusza megegyezik;
feltehetjük, hogy alkalmas
szöggel
és
. Ezekre a számokra teljesülnie kell, hogy
(2)
Láthatjuk, hogy
-t úgy kell
választanunk, hogy
teljesüljön. Ez nyilván lehetséges, mert (2) baloldalának abszolút
értéke, |a| legfeljebb 1. Ezután meghatározzuk a
p1-p2 együtthatót úgy, hogy (2) két oldalának
képzetes része is megegyezzen. Ismét csak amiatt, hogy a baloldal
legfeljebb egységnyi abszolút értékű, |p1-p2| nem
lehet nagyobb 1-nél. Végül p1-p2 és
p1+p2=1 ismeretében meghatározzuk a
p1 és p2 számokat. A kapott p1 és p2
nem lehet negatív |p1-p2|
1 miatt.
Az ilyen módon konstruált p1, p2,
z1, z2 számokra a konstrukció szerint
p1z1+p2z2=a. Felhasználva, hogy
definíciójából
valamint tetszőleges t-re e2it+1=2eitcos t,
Végül megmutatjuk, hogy a körlemez tetszőleges b pontjához léteznek a feltételeknek megfelelő p1, p2, p3, p4 és z1, z2, z3, z4 számok.
Húzzunk egy tetszőleges egyenest b-n keresztül; messe ez a kör kerületét b1-ben és b2-ben. Ekkor b=q1b1+q2b2 alkalmas q1, q2 nemnegatív számokkal, amelyekre q1+q2=1.
Az előbbieket a b1 és b2 számokra alkalmazva, léteznek olyan x1, y2, y3, y4 nemnegatív valós számok és egységnyi abszolút értékű z1, z2, z3, z4 komplex számok, amelyekre x1+x2=x3+x4=1, x1z1+x2z2=x3z3+x4z4=a, x1z12+x2z22=b1, végül x3z32+x4z42=b2. Ugyanezekkel a z1, z2, z3, z4 számokkkal és a p1=q1x1, p2=q1x2, p3=q2x3, p4=q2x4 választással
p1+p2+p3+p4=q1(x1+x2)+q2(x3+x+4)=q1+q2=1,
x1z1+p2z2+p3z3+p4z4=q1(x1z1+x2z2)+q2(x3z3+x4z4)=q1a+q2a=a,
x1z12+p2z22+p3z32+p4z42=q1(x1z12+x2z22)+q2(x3z32+x4z42)=q1b1+q2b2=b.
A p1z12+...+pnzn2 lehetséges értékeinek mértani helye a komplex számsíkon tehát az a2 középpontú, 1-|a|2 sugarú, zárt körlemez.
