Csirmaz László:
Játékok és Grundy-számaik
(A cikk eredeti változata a KöMaL 1980. decemberi számában jelent meg.)
Olyan játékokat vizsgálunk, melyekben két személy játszik egymás ellen. Ezeket kétszemélyes, nulla összegű játékoknak nevezik; bennük az egyik fél győzelme a másik vereségét jelenti. A játék során a lépések nem függnek semmiféle véletlen eseménytől, a játékosok szabadon dönthetik el, hogy a megengedett lépések közül melyiket választják. Így vizsgálódásunk köréből kizártuk a szerencsejátékokat. Feltesszük azt is, hogy a játékosok felváltva lépnek, és a játék addigi menetéről mindent tudnak - matematikai szakkifejezést használva a játék teljes információjú. Kimaradnak tehát az alkalmazások szempontjából fontos mátrix-játékok, köztük a jól ismert kő-olló-papír játék is. Ezekről bővebben [1]-ben és [2]-ben olvashatunk. A legtöbb táblás játék [3], köztük a sakk is, eleget tesz megszorításainknak.
A vizsgált játékok matematikai elmélete meglehetősen egyszerű. A gyakorlatban azonban - ha megpróbáljuk ezt az elméletet közvelenül alkalmazni - még az egyszerű játlékok elemzése is végrehajthatatlanul sok számolást igényel. Így ezekben az analízisekben sok egyedi, egyetlen játékra alkalmazható - idegen kifejezéssel élve "ad hoc" - ötletet találunk. Gondoljunk például a sakkra, használhatók-e más játékok elemzésénél a sokféle megnyitást, végjátékot ismertető vaskos kötetek?
Célunk egy ilyen ad hoc módszernek, a Grundy-számozásnak a bemutatása. Ennek segítségével több olyan játék analízise végezhető el, amelyek egyébként nem, vagy csak igen nagy nehézség árán lennének elemezhetők.
E cikk hét részből áll. Az elsőben pontosan leírjuk a vizsgált játékok struktúráját. A második rész példái a bevezetett fogalmakat illusztrálják. A 3. részben definiáljuk a játékok Grundy-számait, az ezt követő részben pedig azt mutatjuk be, hogyan használhatók a Grundy-számok annak eldöntésére, hogy a játékban melyik játékos tud nyerni, és ehhez hogyan kell játszania. Végül az utolsó részben egy mindmáig megoldatlan problémát említünk meg.
Természetesen nem volt és nem is állt szándékunkban a játékelméletnek - még az általunk választott szűk területén sem - teljes ismertetése. Sok fontos eredményt csak megemlítünk, sokról pedig szó sem esik. A tételek más módon is kimondhatók lennének. A tételek bizonyítása is több helyütt hiányos vagy egészen hiányzik, ám ezeket a hiányokat az érdeklődő Olvasó könnyűszerrel pótolhatja. A cikkben szereplő játékok is a Grundy-számozás alkalmazásait kívánják bemutatni. Így eleve kihagytuk azokat, amelyekre a módszer nem alkalmazható. Kimaradtak azok a játékok is, melyek elemzésénél a Grundy-számozás csak minimális segítséget nyújt, vagy nem kapcsolódik közvetlenül a játék struktúrájához. A megmaradt játékok közül igyekeztünk kiválasztani az érdekesebbeket, és ezek közül is azokat, melyek nem túlságosan bonyolultak.
A cikk megírásához felhasznált legfontosabb forrásmuka J. H. Conway könyve volt. [4]
1. Milyen játékokról lesz szó?
Játékaink kétszemélyesek. Úgy képzeljük, hogy valamilyen táblán valamiféle szabály szerint két játékos, akiket Kezdőnek, illetve Másodiknak nevezünk, felváltva lép. A játék folyamán a táblán különféle pozíciók (helyzetek) alakulnak ki, melyek lépésről lépésre változnak, és a játék állását ezek egyértelműen meghatározák. Játékaink tehát bizonyos pozíciókból állnak, és létezik valamiféle szabály, amely minden pozícióhoz megmondja, hogy a soron következő lépéssel milyen más pozíciók érhetők el, a játékosok mely pozíciókba tudnak lépni. A játékot a Kezdő játékos kezdi, úgy, hogy az egyértelműen meghatározott kezdő pozíció valamelyik (lehetséges) rákövetkezőjét kiválasztja, azaz abba lép. Ezután a Második játékoson a sor: ő választ egyet a Kezdő által választott pozíció rákövetkezői közül, majd ismét a Kezdő következik, és így tovább. A vesztes az, akinek lépnie kell, de nem tud; más szavakkal: az nyer, aki az utolsót lépi.
Minden játéknak egyetlen kezdő pozíciója van. De tekinthetjük a játék tetszőleges pozícióját is egy rövidebb játék kezdő pozíciójának.
A vizsgált játékok struktúráját ezek szerint a következőképpen írhatjuk le. Minden egyes pozíciónak megfeleltetünk egy pontot (például a síkban), és ha az X pozícióból az Y pozícióba lehet (közvetlenül) lépni, vagy más szavakkal: ha Y az X rákövetkezője, akkor az X-nek megfeleltetett pontból egy nyilat irányítunk az Y-nak megfeleltetett pontba. Az így kapott struktúrát irányított gráfnak nevezzük, a pozícióknak megfeleltetett pontokat csúcsoknak vagy csúcspontoknak, a nyilakat pedig éleknek.
Csak olyan játékokkal foglalkozunk, amelyekben véges sok lehetséges pozíció van. Ezek között fontos szerepet játszanak az ún. véges játékok. Egy játék véges, ha akármelyik pozícióból indulnak és akárhogyan is játszanak a játékosok, a játék előbb-utóbb véget ér. Ez azt jelenti, hogy nem találhatók olyan X1, X2, ..., Xk pozíciók, hogy X1-ből X2-be, X2-ből X3-ba, ..., Xk-1-ből Xk-ba, és Xk-ból X1-be lehetne lépni. Speciálisan nem lehet olyan pozíció sem, amely saját magának (egyik) rákövetkezője. A játékoknak megfeleltett irányított gráfok nyelvén ez a kikötés azt jelenti, hogy a gráf nem tartalmazhatja az 1. ábrán látható gráfok, az úgynevezett irányított körök egyikét sem. Az ilyen gráfot körmentes gráfnak szokás nevezni.
1. ábra
2. Néhány egyszerű játék
HALOM. Van egy halom valamilyen tárgyunk (babszem, gyufa, érme stb.) A soron következő játékos annyi elemet vesz el a halomból, amennyit akar (akár az összeset is), de legalább egy elemet el kell vennie.
Ez így önmagában egy érdektelen játék, de több összetett játéknak eleme, ezért érdemes vele foglalkoznunk. Kezdő akkor tudja megnyerni ezt a játékot - úgy mondjuk: akkor van nyerő stratégiája -, ha a halomban legalább 1 tárgy van. Ha egy tárgy sincs a halomban, akkor Második nyert, mert Kezdőnek lépnie kellene, de nem tud. Legyen a halomban kezdetben 5 tárgy. Ekkor a játéknak összesen 6 lehetséges pozíciója van, attól függően, hogy a halomban 5, 4, 3, 2, 1 vagy 0 elem van-e. A játékhoz tartozó irányított gráfot a 2. ábra mutatja.
2. ábra
RELATÍV PRÍM. Ismét van egy halom tárgyunk. De most n elemből akkor vehetünk el k elemet, ha n és k relatív prímek, vagyis az n és k számoknak nincs 1- nél nagyobb közös osztójuk.
Mindig legalább 1 elemet el kell venni (hiszen 0 semmihez sem relatív prím), pontosan 1 elemet pedig mindig el lehet venni (mert 1 minden számhoz relatív prím). Végül nem lehet egy lépéssel kiüríteni a halmot, kivéve ha csak 1 tárgy van benne, mert n > 1 esetén az n az n-hez nem relatív prím. Az 5 elemből álló játék grafikája a 3. ábrán látható.
Lássa be az Olvasó, hogy Kezdőnek akkor és csak akkor van nyerő stratégiája, ha kezdetben páratlan sok elem van a halomban!
3. ábra
LÉTRA. Van egy halom tárgyunk. A soron következő játékos a halomból legalább 1, de legfeljebb t tárgyat vehet el, ahol t előre rögzített természetes szám.
Ezt a játékot valószínűleg mindenki játszotta. Másodiknak pontosan akkor van nyerő stratégiája, ha a halom elemeinek száma osztható (t+1)-gyel. Csak arra kell ügyelnie, hogy minden lépése után is ez a helyzet álljon elő, különben Kezdő nyer.
A következő négy játékot (mondjuk 8x8-as) sakktáblán lehet játszani. Kezdetben a tábla jobb alsó sarkában (a h1 mezőn) áll egy bábu, és ezt a játékosok a megadott szabályok szerint felváltva mozgatják. A lépések olyanok, hogy a bábu minden lépésben közelebb kerül a bal felső sarokhoz, s a cél az, hogy oda eljusson. Most is az veszít, aki nem tud lépni.
KIRÁLY. A bábuval vagy egy mezővel balra, vagy egy mezővel fölfelé, vagy egy mezővel átlósan balra fölfelé lehet lépni (4. ábra). A nyertes az, aki a bábut a bal felső sarokba tolja, hiszen csak onnan nem lehet tovább lépni.
4. ábra
A játékot Kezdő nyeri. Először átlósan kell lépnie, majd a Második lépéseit utánozva Ő jut be a célba.
KIRÁLYNŐ. Léphetünk balra, fölfelé, vagy a bal felső csúcsba befutó átló tetszőleges mezőjére (5. ábra).
A játékot így természetesen Kezdő nyeri, hiszen első (és egyetlen) lépésével a bábut a bal felső sarokba tolja. Ha azonban a bábu a h4 mezőről indul, akkor Másodiknak van nyerő stratégiája.
5. ábra
BÁSTYA. A bábu az előző játékban leírt módon léphet, csak most az átlós irányú lépés nincs megengedve. A játékban Másodiknak van nyerő stratégiája.
Vegyük észre, hogy a BÁSTYA játék ekvivalens a
következővel. Veszünk két, 7-7 elemű halmot. A soron következő játékos az egyik
halmot kiválasztja, és abban a HALOM szabálya szerint lép egyet. Ha a bábu a
BÁSTYÁ-ban a balról számított i-edik oszlopban és a felülről számított
j-edik sorban van (1
i,j
8), ez megfelel annak az esetnek, mikor az egyik
halomban i-1, a másikban j-1 elem van. A vízszintes lépések az
első halom csökkentésének, a függőleges lépések a másik halom csökkentésének
felelnek meg.
HUSZÁR. A bábu egy mezőről a 6. ábrán látható négy mező valamelyikére léphet, feltéve, hogy az még a táblán van. Ezt a játékot is Második tudja megnyerni.
6. ábra
Az eddigiek véges játékok voltak, most lássunk egy nem véges játékot.
DUGÓ (közlekedési). A 7. ábra egy állam térképét mutatja, a városok nevei Abádszalöktől Putnokig futnak. A városokat a térkép szerint egyirányú utak kötik össze. Egy autó indul Muraszemenyéről, a játékosok egy-egy lépésben valamelyik kivezető úton egy szomszédos városba mehetnek. Az győz, aki Cibakházára beviszi az autót, hiszen (csak) onnan nincs kivezető út.
7. ábra
A játék nem véges, mert a játékosok körben
járhatnak Muraszemenye-Ipafa-Nagyatád útvonalon. Ennek ellenére Második meg
tudja nyerni a játékot. (Hogyan?)
Az x1, x2, ...,
xk nemnegatív egész számok legkisebb kizártján azt a
legkisebb nemnegatív egészet értjük, amely nem fordul elő az x1,
x2, ..., xk számok között. Ezt a számot a legkisebb
közös többszörös mintájára lkkz(x1, x2, ...,
xk) jelöli.
Példák: lkkz(0)=1, lkkz(1)=0,
lkkz(0,1,3)=lkkz(0,1)=lkkz(7,9,8,3,1,12,0)=2.
Tekintsünk most egy véges játékot. A játék
pozícióihoz nemnegatív egész számokat, úgynevezett Grundy-számokat
rendelünk a következő szabály szerint:
Azokhoz a pozíciókhoz, melyeknek nincs
rákövetkezőjük (azaz amelyekből indulva, a soron következő játékos veszít), 0-t
írunk. Ha egy X pozíciónak már minden rákövetkezőjéhez írtunk számot, akkor az
X pozícióhoz ezek legkisebb kizártja kerüljön.
Egy játék Grundy-száma definíció szerint a játék
kezdő pozíciójának Grundy-száma legyen.
Nézzük meg, hogy az előző játékok pozícióihoz
milyen Grundy-számok tartoznak. Ezek után igazolni fogjuk, hogy minden véges
játéknak van Grundy-száma.
HALOM. Egyetlen olyan pozíció van,
melynek nincs rákövetkező állapota, azaz amellyel a kitöltést elkezdhetjük:
amikor a halomban 0 elem van. Az ehhez a pozícióhoz tartozó Grundy-szám a fenti
definíció szerint H0=0.
Másodikként az 1 elemet tartalmazó halom
Grundy-számát lehet meghatározni. Ennek ugyanis egy rákövetkező pozíciója van,
az, amikor a halomban egyetlen elem sincs. A rákövetkezőnek már tudjuk a
Grundy-számát, ami 0, így az egy elemű halom Grundy-száma
H1=lkkz(0)=1.
Két elemű halom esetén a két lehetséges
rákövetkező állapot az 1, illetve a 0 elemű halom. Ezek már kaptak számokat,
1-et, illetve 0-t, ezért a 2 elemű halom Grundy-száma
H2=lkkz(0, 1)=2.
Általában az n elemű halomból kiindulva a
Grundy-szám Hn=n. Ez azt jelenti, hogy a HALOM játék
Grundy-száma - nem más, mint a halom elemeinek száma. Speciálisan a 2. ábrán
látható játék Grundy-száma 5.
RELATÍV PRÍM. Jelöljük az n
elemből induló játék Grundy-számát Rn-nel. Itt is az első két
Grundy-szám R0=0 (mivel a 0 elemű halomból nem lehet
elvenni), illetve R1=lkkz(R0)=1. Ha két
elemű halomból indulunk ki, az egyetlen lehetséges lépés az egy elem
elvétele. Így R2 nem más, mint
lkkz(R1)=lkkz(1)=0.
Három elemű halom esetén akár 1, akár 2 elemet
is elvehetünk, így R3= lkkz(R1,
R2)= lkkz(1, 2)=0. Öt elem esetén maradhat 1, 2, 3, vagy 4
is, innen R5=lkkz(R1, R2,
R3, R4)=3.
Az alábbi táblázat Rn értékét
mutatja n=20-ig.
Könnyen igazolható, hogy páros n-re
Rn=0, ha n páratlan, és n-nek a legkisebb
prímosztója éppen a k-adik prímszám, akkor
Rn=k. (Az első prím a 2, a második a 3.)
LÉTRA. Az egyszerűség kedvéért a
t=3 esettel foglalkozunk, a többi eset hasonlóan intézhatő el. Amíg a
halomban legfeljebb 3 (=t) elem van, addig a LÉTRA és a
HALOM játék ugyanaz, tehát az első négy Grundy-szám
L0=H0=0, L1=1,
L2=2, L3=3. Ha viszont négy elemből
indulunk ki, akkor a lépés eredménye nem lehet a 0 elemű halom, tehát
L4=lkkz(L3, L2,
L1)=lkkz(3, 2, 1)=0. Ötelemű halom esetén 4, 3 vagy 2 elemű
halmot kaphatunk, így L5=lkkz(L4,
L3, L2)=lkkz(0, 3, 2)=1. Általában az
Ln az Ln-1, Ln-2,
Ln-3 számok legkisebb kizártja, ami éppen n-nek 4-gyel
- általában (t+1)-gyel - való osztásakor kapott maradék.
KIRÁLY. A játék pozícióit a sakktábla
mezőivel azonosítjuk, a pozíciókhoz tartozó Grundy-számokat a mezőkbe írjuk. A
bal felső sarokba 0 kerül, hiszen innen nem tudunk tovább lépni. A felső sor
következő mezőjének Grundy-száma lkkz(0)=1, mert ebből a mezőből csak a 0
Grundy-számú sarokmezőbe tudunk lépni. A sor második (c8) mezőjéből csak az
előzőbe kerülhetünk, így a beírandó szám lkkz(1)=0. A felső sorban tehát
felváltva 0 és 1 áll, ugyanez igaz a bal szélső oszlopra is (8. ábra). Ezek
kitöltés után egyetlen mező van, amelynek mindhárom rákövetkezőjét kitöltöttük:
a b7 mező. Ebbe a rákövetkezők legkisebb kizártja, lkkz(0, 1, 1)=2 kerül. A c7
mező száma lkkz(0, 1, 2)=3, ezt folytatva a második sort - és evvel együtt a
második oszlopot is - kitölthetjük. Ha ezekkel végeztünk, rátérhetünk a
harmadik sorra stb.
8. ábra
A kitöltést természetesen nemcsak a 8x8-as
sakktáblán, hanem akármekkora sakktáblán is elvégezhetjük. A 8. ábrán a
vastagon kihúzott kis keretek segítenek a szabályszerűség felismerésében. Ennek
alapján tetszőleges méretű sakktábla tetszőleges mezőjének Grundy-számát
megmondhatjuk a teljes tábla kitöltése nélkül.
KIRÁLYNŐ. Nem részletezzük a tábla
kitöltését, annak kezdő része a 9. ábrán látható. Sajnos nem valószínű, hogy
valamilyen egyszerű formula megadná az egyes mezőbe irandó számokat.
9. ábra
BÁSTYA. Az ehhez a játékhoz tartozó
Grundy-számok táblázata a későbbiekben fontos szerepet fog játszani (10. ábra).
A felső sorban a számok 0-tól kezdve egyesével növekszenek, hiszen a felső sor
egy mezőjéről a tőle balra levő mezők bármelyikére (és csak azokra) lehet lépni
- ez lényegében azonos a HALOM játékkal. Ugyanez áll a bal szélső
oszlopra is. Egy mezőbe akkor lehet a Grundy-számot beírni, ha az összes
felette álló, illetve az öszes tőle balra levő mezőt már kitöltöttük. A mezőhöz
tartozó Grundy-szám éppen az ezekben álló számok legkisebb kizártja, azaz a
legkisebb olyan szám, amely sem az oszlopban, sem a sorában korábban még nem
szerepelt.
10. ábra
A táblázat vastag vonalakkal határolt négyzetei
a következő tétel érvényeségét mutatják n=1, 2, 3-ra:
1. tétel. A táblázat bal felső
2nx2n méretű részének minden sorában és
minden oszlopában a 0-tól (2n-1)-ig terjedő
számok mindegyike pontosan egyszer fordul elő.
Legyenek i és j nemnegatív egész
számok, és jelöljük i A következő két tétel is a BÁSTYA játék
táblázatáról szól.
2. tétel. Legyen 0 11. ábra
Bár mind az első, mind a második tételt
önmagában nehéz volna igazolni, a két tételnek egyszerre, n-re vonatkozó
indukcióval történő bizonyítása már nem nehéz. Ezt Olvasóinkra hagyjuk, csak
úgy, mint annak meggondolását, hogyan következik a 2. tételből a
3. tétel. Írjuk fel i-t, j-t és i A 3. tétel alapján tetszőleges i, j
számra viszonylag gyorsan ki lehet számítani az i Világosabb a NIM-összeadás technikája, ha a
számok kettes számrendszerbeli alakját szokásosan egymás alá írjuk (12. ábra).
12. ábra
A 3. tételből az is következik, hogy tetszőleges
i,j,k nemnegatív egészekre (i i HUSZÁR. A Grundy-számok táblázatán
(13. ábra) jól megfigyelhető ismétlődés a 8x8-as táblán még nem tudna
kibontakozni. (Kérdés: miért nem fordul elő 4-nél nagyobb szám a táblázatban?)
13. ábra
Példáinkat befejezve rátérünk egy, már korábban
kimondott tétel bizonyítására.
4. tétel. Egy véges játék minden
pozíciójának van Grundy-száma.
Tegyük fel az állítással ellentétben, hogy a
hozzárendelés szabálya szerint a játék egyetlen további pozíciójához sem lehet
számot rendelni, és mégis van egy X1 pozíció, amelyhez nem
került szám. Ez csak amiatt lehetséges, hogy már X1-nek
valamely X2 rákövetkezőjéhez sem írhattunk számot. Különben,
ha X1-nek nem volna rákövetkezője, akkor 0-t, egyébként pedig
a rákövetkezőihez írt számok legkisebb kizártját írtuk volna. Ekkor
X2-nek is van olyan X3 rákövetkezője,
melyhez nem tartozik Grundy-szám, X3-nak is van ilyen
X4 rákövetkezője, és így tovább. Ily módon kapjuk az
X1, X2, X3,
... pozíciókat úgy, hogy mindegyik Xi+1 pozíció az
Xi rákövetkezője. Játékunkban azonban csak véges sok pozíció
van, tehát ebben a sorozatban valamelyik pozíció ismét előfordul, például
Xk=Xl, ahol 1 Egy (véges) játék pozícióihoz rendelt
Grundy-számoknak a következő három fontos tulajdonságuk van:
Ezekből a tulajdonságokból azonnal adódik az:
5. tétel. Egy véges játékban Kezdőnek
akkor és csak akkor van nyerő stratégiája, ha a kezdő pozíció Grundy-száma
0-tól különbözik.
Ha ugyanis a kezdő pozíció Grundy-száma nem
nulla, akkor a c) tulajdonság miatt van (esetleg több) 0 Grundy-számú
rákövetkezője. Válassza Kezdő ezek valamelyikét. Most Második következik, és 0
Grundy-számú pozícióból indul. Második vagy azonnal veszít - ez az a)
eset -, vagy pedig kénytelen olyan pozícióba lépni, amelynek Grundy-száma
pozitív - b) eset. Következésképp Kezdő ismét pozitív Grundy-számú
pozícióból léphet.
Összefoglalva, ha Kezdő eszerint a stratégia
szerint játszik, akkor mindig pozitív Grundy-számú pozícióból léphet, aminek a
c) tulajdonság miatt feltétlenül van 0 Grundy-számú rákövetkezője. Így
Kezdő nem veszthet. S mivel a játék véges, így előbb-utóbb véget ér, Második a
vesztes.
Megfordítva, ha a kezdő pozíció Grundy-száma 0,
akkor Második érheti el, hogy valahányszor őrá kerül a sor, pozitív
Grundy-számú pozícióból léphessen. Így ebben az esetben Másodiknak van nyerő
stratégiája.
Ennek a tételnek a segítségével korábbi
játékaink mindegyik pozíciójára meg tudjuk mondani, hogy onnan indulva Kezdő
vagy Második tudja-e megnyerni a játékot, sőt magát a stratégiát is tudjuk: aki
nyerni akar, annak mindig 0 Grundy-számú pozícióba kell lépnie. Ha csak egyszer
is téved, ellenfele kezébe adja a nyerés lehetőségét.
Az 5. tétel bizonyítása a Grundy-számoknak az
a), b) és c) tulajdonságán, valamint azon a tényen múlott, hogy a játék
előbb-utóbb véget ér. A Grundy-számozást és ezzel együtt az 5. tételt nem véges
játékokra is lehet általánosítani a következő módon.
A Grundy-számok hozzárendelésére a 3. pontban
adott eljárást módosítsuk így:
Ahhoz a pozícióhoz, melynek nincs
rákövetkezője, 0-t írunk.
Egy még Grundy-szám nélküli, X pozícióhoz az
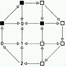
n Nézzük, hogyan alkalmazható ez az eljárás a
DUGÓ játékra (14.ábra). A C csúcs az egyetlen, amelyből nem indul
ki út, így a C csúcs Grundy-száma 0. Ezután a D-hez írhatunk 0-t,
mert D rákövetkezői B és E még számozatlanok, de
mindkettőnek van 0 számú rákövetkezője (a C csúcs). Ezek után G
száma 1, hiszen egyetlen rákövetkezőjének, D-nek Grundy-száma 0, és
ugyanígy K száma 0.
14. ábra
Most az egyetlen csúcs, amit megszámozhatunk,
E, melynek Grundy-száma 1. Valóban, E-nek egyetlen rákövetkezője
C, míg másik, még számozatlan rákövetkezőjéből H-ból eljuthatunk
az 1 Grundy-számú G-be. Mivel evvel B mindkét rákövetkezőjét
kitöltöttük, B-be lkkz(0,1)=2 kerül, és ezért A-ba lkkz (0,2)=1.
Innen kezdve könnyen meghatározhatjuk az F,
J, I, H, L, M, N, P csúcsok Grundy-számait: mire egy csúcsra sor kerül,
addigra már összes rákövetkezője kapott már számot.
Maradhatnak olyan pozíciók is, melyek még a
módosítás alapján sem kapnak számot. Ilyen játék gráfját mutatja a 15. ábra, az
üres, illetve teli négyzetek mutatják a "számozhatatlan" csúcsokat. A
módosított eljárással kapott Grundy-számok is rendelkeznek a korábban kimondott
a), b), c) tulajdonságokkal, és igaz az 5. tételnek a következő általánosítása:
15. ábra
6. tétel. Egy játékan a Kezdő
játékosnak pontosan akkor van nyerő stratégiája, ha kezdő pozíció valamely
rákövetkezője nulla Grundy-számú.
A második játékosnak pontosan akkor van nyerő
stratégiája, ha a kezdő pozíció nulla Grundy-számú.
Minden más esetben mindkét játékos elérheti,
hogy ne kapjon ki, azaz ha mindketten "okosan" játszanak, a játék sohasem ér
véget.
A 6. tétel bizonyítása hasonló az 5. tétel
bizonyításához, csak annál kissé bonyolultabb, szintén az Olvasóra hagyjuk. A
6. tétel alapján a 15. ábra játékát Kezdő nyeri, ha a kezdő pozíció az 1-gyel,
a 2-vel vagy a három teli négyzettel jelölt pozíciók valamelyike; Második
nyeri, ha a két nullás pozíció valamelyikéből indulnak; végül a játék
döntetlen, ha az üres négyzetek bármelyike a kezdő pozíció.
A DUGÓ játéknál a kezdő pozíció az M
csúcs, aminek Grundy-száma 0, tehát Másodiknak van nyerő stratégiája. Az a
dolga, hogy Kezdő minden lélpése után valamelyik 0 Grundy-számú csúcsba
irányítsa az autót.
Egy játékot játszani nem mindig nehéz, sőt, néha
annyira egyszerű, hogy nem is tekintjük igazán játéknak. Mondjuk azt mindjárt a
HALOM-nál. Ám rögtön érdekessé, sőt nehézzé válik, ha több HALOM
játékot kell egyszerre áttekinteni, a játékok között valamiféle "egyensúlyt"
fenntartani azzal a feltétellel, hogy a soros játékos a rendelkezésre álló több
játék közül csak az egyikben léphet. De hogy melyikben, és hogyan, azt már ő
dönti el. A vesztes most is az, aki nem tud lépni, azaz aki az utolsónak maradó
játékot veszti el.
Hogy könnyebben tudjunk ezekről az összetett
játékokról beszélni, egy jelölést vezetünk be. A J1 és
J2 játékok összegének nevezzük, és
(J1+J2)-vel jelöljük azt a játékot,
melyben a soros játékos a J1 vagy a J2
játékok közül pontosan az egyikben lép egyet. hasonlóan definiáljuk a
J1+J2+J3
stb. összegeket is. Egy összegjáték valamelyik összeadandója lehet maga is egy
összeg, ilyenkor azonban a rész-összeadandókat anélkül, hogy előbb külön
összeadnánk őket, közvetlen tagoknak is tekinthetjük.
Elsőként nézzük meg, mi történik, ha ugyanazt a
játékot vesszük két példányban, vagyis vizsgáljuk a J+J
összeget. Ebben kezdőnek nem lehet nyerő stratégiája. Játszon ugyanis Második a
következőképpen: akármit is lép Kezdő, lépje ő ugyanazt a másik játékban. Így
Másodiknak minden lépése után mindkét játék ugyanabba a pozícióba kerül, tehát,
ha Kezdő tud lépni, tud lépni Második is. Ha J játék véges, akkor persze
J+J is az, és ekkor J+J-ben Másodiknak van nyerő
stratégiája.
Valamivel bonyolultabb a helyzet a J+J+J játéknál. Ha Másodiknak van nyerő stratégiája J-ben,
akkor a J+J+J összeget is megnyeri: Kezdő bármelyik
játékot is választja, lépje Második ugyanabban a játékban a J-beli nyerő
stratégiája szerinti válaszlépést. Így Második a J mindhárom példányát
megnyeri, tehát az összeget is.
Ha viszont Kezdőnek van nyerő stratégiája
J-ben, és J véges, akkor Kezdő J+J+J-t
is meg tudja nyerni. A három J közül az elsőt mintegy szívügyének
tekinti, és abban a (J-beli) nyerő stratégiája szerint játszik. Például
első lépését is ott teszi meg, és valahányszor Második ebben lép egyet, Kezdő
is itt válaszol. A másik két játék csak ráadás: Ha Második az egyikben lép
valamit, Kezdő lépje ugyanazt a másikban. E szerint játszva Kezdő nem veszthet,
s mivel J, és ezzel együtt J+J+J is véges,
végül is nyer.
Az a feltétel, hogy J véges, nem
hagyható el. Található ugyanis olyan nem véges J játék, amelyben
Kezdőnek nyerő stratégiája van, s ugyanakkor J+J+J-t
Második akkármeddig elhúzhatja.
Az 5. tétel alapján egy véges játékban
Másodiknak akkor és csak akkor van nyerő stratégiája, ha a játék Grundy-száma
0. Mivel J-vel együtt J+J, J+J+J,
... is véges, az előbbieket egy kissé általánosítva a következő tételt kapjuk:
7. tétel. Ha a J véges játék
Grundy-száma 0, akkor a J+J, J+J+J, ... játékok Grundy-száma is
0. Ha a J véges játék Grundy-száma pozitív, akkor a J+J+J, J+J+J+J+J,
... játékok Grundy-száma is pozitív, ugyanakkor J+J, J+J+J+J, ... Grundy-száma
0.
Ez a tétel egyszerű következménye a következő,
első látásra meglepő tételnek, mely azt mondja ki, hogy játékok összegének
Grundy-száma kiszámítható a játékok Grundy-számából, s nem függ az összeadandők
struktúrájától.
8. tétel. Legyen a J1 játék Grundy-száma j1, a J2 játéké
j2. Ekkor J1+J2 Grundy-száma
j1 Bizonyításul csak azt az esetet vizsgáljuk, ha
J1 és J2 végesek; az általános eset hasonlóan kezelhető, csak
bonyolultabb. A J1+J2 pozícióit olyan párokkal ábrázolhatjuk, melyek első
tagja a J1 játéknak, második tagja
pedig a J2 játéknak egy-egy
pozíciója. Ha a J1-beli X
pozíció (J1-beli) rákövetkezői
X1, X2,
... Xn; a J2-beli Y pozíció rákövetkezői Y1, Y2, ... Ym, akkor J1+J2 játék
(X, Y) pozíciójának összesen n+m rákövetkezője van, és
ezek (X1, Y); (X2, Y); ...; (Xn, Y), valamint (X, Y1); (X, Y2); ...;(X, Ym). Az első n pár annak felel meg,
mikor a soros játékos J1-ben lép, a
második m pedig annak, amikor J2-ben.
Feltevésünk szerint J1, J2 végesek,
tehát mindkét játék minden pozíciójához tartozik Grundy-szám. Jelölje az
X pozícióhoz tartozó J1-beli
Grundy-számot g, az X1, ...,
Xn pozíciókhoz tartozókat
g1, ..., gn, a J2
játék Y pozíciójához tartozó J2-beli Grundy-számot h, az Y1, ..., Ym pozíciókhoz tartozókat h1, ..., hm. Tételünk azt állítja, hogy a
J1+J2 játék (X, Y) pozíciójához tartozó
Grundy-szám g Egy pozícióhoz (véges játék esetén) két
állapotban írhatunk Grundy-számot: vagy ha a pozíciónak nincs rákövetkezője,
vagy ha a pozíció minden rákövetkezőjének már van Grundy-száma. Tekintsük a
J1+J2 játék (X, Y) pozícióját. Ennek pontosan
akkor nincs rákövetkezője, ha sem X-nek, sem Y-nak nincs
rákövetkezője. Ekkor X-nek, Y-nak és (X, Y)-nak is
0 a Grundy-száma, és 0 Most tegyük fel, hogy a J1+J2-beli
(X, Y) pozíció minden rákövetkezőjének már van Grundy-száma,
továbbá indukciós hipotézisként tegyük fel azt is, hogy az (Xi, Y) pozíció Grundy-száma gi g=lkkz(g1,
..., gn), illetve
h=lkkz (h1, ...,
hm),q
másrészt (X, Y) Grundy-száma
lkkz(g1 Ahhoz, hogy tételünket bizonyítsuk, elegendő
megmutatnunk, hogy a (2)-ben szereplő érték éppen g g azaz g=gi volna, ami (1) miatt lehetetlen. Hasonlóan
g A g Mindjárt alkalmazzuk is a tételt: a Második
játékosnak a J+J játékban nemcsak akkor van nyerő stratégiája, ha
J véges, hanem akkor is, ha J kezdő pozíciójának , azaz
J-nek van Grundy-száma, mondjuk j. Valóban J+J
Grundy-száma az előző tétel alapján j Minden összeget két tagú tagok összegére
bonthatunk fel, a 8. tétel tehát nemcsak két, hanem akárhány játék összegére is
alkalmazhatjuk. Ezt tesszük a következő játék elemzésénél.
TRIDUGÓ. A játékot a DUGÓ játék tábláján
játssza a két játékos (7. és 14. ábra). Kezdetben egy-egy autó indul az
A, a K és a P városból. A soron következő játékos az
egyik autót jelenlegi helyéről egy szomszédos városba irányítja. Egy
városban egyszerre akár mind a három autó is tartózkodhat. A nyertes az, aki az
utolsó autót C-be irányítja (vagyis veszít az, aki nem tud lépni).
A figyelmes Olvasó azonnal észreveszi, hogy ez
három DUGÓ játék összege. Az egyikben az autó A-ból, a másikban
K-ból, a harmadikban pedig P-ből indul. Az egyes játékok
Grundy-számai a 14. ábra jobb oldala alapján rendre 1, 0, illetve 2, az
összjáték Grundy-száma tehát 1 NIM. Van néhány halom tárgyunk. Egy
lépésben valamelyik halomból valahány elemet kell elvenni, akár az egész halmot
is. A játék nyertese az, aki az utolsó elemet elveszi.
Természetesen a játék Grundy-száma a halmokban
található elemek számának NIM-összege, s aki nyerni akar, annak úgy kell
játszania, hogy minden lépése után ez az összeg 0 legyen.
A NIM játéknak ezt a formáját és a hozzá
tartozó stratégiát Olvasóink bizonyára jól ismerik. Azonban a játéknak több
érdekes és kevésbé ismert változata is van. Ezek közül az elsőként bemutatandó
változat D. G. Northcott nevéhez fűződik.
GYALOGOS. A játékot a (8 X 8-as)
sakktáblán a nyolc fehér és a nyolc fekete gyaloggal (paraszttal) játsszák,
olyanféle kiinduló állásból, amilyet a 16. ábra mutat. Minden sorban pontosan
egy fekete és egy fehér gyalog áll. Kezdő a fehér gyalogokat, Második a
feketéket mozgatja úgy, hogy ugyanabban a sorban akárhány mezőt előre vagy
hátra léphet, de az ellenfél figuráját nem ugorhatja át, és nem állhat rá az
ellenfél mezőjére sem. A vesztes az, aki nem tud lépni, azaz akinek az összes
figurája "beszorult" (a sor valamelyik végén).
16. ábra
Annak ellenére, hogy a játék nem véges,
lényegében egy "bújtatott" NIM-ről van szó. Benne a halmok elemszámát a
szemben álló gyalogok közti üres mezők száma adja meg. Így a bemutatott pozíció
Grundy-száma 4 Így Kezdő mindig közeledik ellenfeléhez, egy idő
múlva az már nem tud hátrálni, tehát veszít.
BUBORÉK. Egy fölfelé haladó kanyargós
"csőben", amely a 17. ábra szerint mezőkre van osztva, a játékosok elhelyeznek
néhány "buborékot", ezeket a sötét körök jelzik. Egy lépésben valamelyik
buborékot kell valahány mezővel feljebb tolni. Egy mezőben legfeljebb egy
buborék tartózkodhat, és a buborékok nem előzhetik meg egymást. Az ábrán a nyíl
egy szabályos lépést mutat. A játék akkor ér véget, amikor az összes buborék a
cső tetején gyűlik össze, s a vesztes az, aki már nem tud lépni.
17. ábra
Ebben a játékban is megtaláljuk a
NIM-et. Induljunk el a legalsó buboréktól és minden páratlan sorszámú
buboréktól számoljuk meg az üres mezőket a következőig (illetve páratlan sok
buborék esetében utoljára a cső tetejéig). Ezek a számok adják ki a NIM halmok
elemszámait, esetünkben ez 7, 4 és 4. Mindkét játékos bármelyik "halmot"
bármennyivel csökkentheti, s ha egy játékos egy "halom" felső végét megtolja,
ellenfele ezt lépését semlegesítheti az alsó határoló buborék alkalmas
megtolásával. Így aki a NIM játékot a fent leírt halmokkal megnyeri, az nyeri
meg a buborék játékot is. A bemutatott helyzetben Kezdőnek van nyerő
stratégiája, s első lépésként például a legfelső buborékot tolhatja eggyel
feljebb. Ezután a lépés után előálló halmok mérete ugyanis 3, 4, 7, melyek
NIM-öszege 0. Jó kezdő lépés az is, ha a legalsó buborékot csatlakoztatja a
megelőzőhöz, azaz a 7 elemű halmot teljes egészében elveszi.
FAVÁGÓ. Egy erdőben a fák egy négyzetrács
pontjaiban helyezkednek el, bár innen-onnan már hiányzik egy-egy fa
(18. ábra). A játékosok felváltva vágják ki (=áthúzzák) a fákat: a soron
következő játékos egy vízszintes sorból egyet vagy többet, de csak
szomszédosokat vághat ki. A vesztes az, akinek nem marad kivágni való fája.
18. ábra
Így akár Kezdő a felső sorból akár az első
négy, akár az utolsó négy fát kivághatja, de nem vehet el mind a két részből,
hiszen azok már nem volnának szomszédosak. Maga a játék természetesen nem más,
mint az egyes összefüggő fasorokon játszott játékok összege, esetünkben 8 játék
összege. Egy összefüggő fasoron a játék lényegében a HALOM játék, azzal a
különbséggel, hogy egy vagy több fa kivágásán (elvételén) kívül a megmaradt
részt még két különálló részre lehet osztani. Ez azonban nem befolyásolja a
játék kimenetelét. Annak a játékosnak ugyanis, ekinek a NIM játékban nyerő
stratégiája van, nem érdeke, hogy növelje a különálló halmok számát. Ellenfele
pedig ha az n0, n1, ..., hosszúságú sorok közül az
n0 méretűt néhány közbülső kivágásával egy k és egy
l hosszúságúra bontja szét, akkor ezzel egy k A 18. ábra játékának Grundy-száma ezek szerint
4 Ismeretes, hogy a NIM-ben két egyező elemszámú
halmot a játékosok bármely lépésük után egyszerűen figyelmen kívül hagyhatnak,
hiszen azok együtt a játék kimenetelét nem befolyásolják. Játszhatnának tehát
úgy is, hogy külön-külön helyet tartanak fenn az egy elemű, a két elemű
stb. halmoknak, és mindegyik helyen legfeljebb egy, annyi elemszámú halom
állhat. Amikor lépnek, akkor a változtatandó halmot kiveszik helyéről, elveszik
belőle a megfelelő számú elemet, mjd visszateszik az új helyére, ha azon a
helyen még nem állna halom; illetve ha már áll, akkor az előállított halmot és
az ott álló, vele egyező elemszámú halmot is félreteszik - azok igazában már
nem vesznek részt a játékban. Vegyük észre, hogy nincs is szükség tárgyakra,
halmokra, mindössze azt kell jelölnünk, hogy van-e 1, 2 stb. elemszámú
halmunkvagy nincs. Ezt az absztrakciós lépést meg is tesszük a következő
játékban.
FORDÍTÓ. Van 10 korongunk, mindegyiknek
az egyik lapja piros, a másiknak kék. A korongokat a játék elindításához egy
sorba rakjuk, néhányat a piros, másokat a kék oldalával felfelé (19. ábra). A
soron következő játékos két eljárásból választhat: vagy egy korongot a piros
oldaláról a kékre fordít, vagy két korongot fordít meg, de ezek közül a jobb
oldali (nagyobb sorszámú) korongot a piros oldaláról a kékre kell fordítania. a
vesztes az, aki már nem tud lépni, vagyis az nyer, akinek lépése után minden
korongnak a kék oldala látszik.
19. ábra
A játékban éppen a fent leírt módon bújtattuk
el a NIM-et. Az i-edik korong piros fele éppen ezt mutatja, hogy
van i elemű halmunk, kék fele pedig azt, hogy nincs. Így a
FORDÍTÓ játék egy pozíciójának Grundy-számát úgy kaphatjuk meg, ha a
piros korongok sorszámait NIM-adjuk össze. A 19. ábra Grundy-száma tehát 2 A NIM-hez hasonló, csak kevésbé ismert
játék a RIM. Van néhány halom tárgyunk. Egy lépésben valamelyik halomból
valahány elemet kell elvennünk, de csak annyit szabad, hogy az elvett elelmek
száma és az elvétel elötti elemek száma relatív prím legyen egymáshoz.
A játék természetesen több RELATÍV PRÍM játék
összege, így elegendő a RELATÍV PRÍM Grundy-számait ismernünk ahhoz, hogy
nyerhessünk.
Hasonló játék a
DIM. Az előzőtől abban különbözik, hogy
az elvett elemek száma osztója kell hogy legyen a halomban eredetileg található
elemek számának. (Így például bármely halomból akár az összes elemét is
elvehetjük.)
Itt is egyetlen játék több példányáról van szó,
egyetlen halom esetén a Grundy-számok a következők:
Az előző játékok keveréke a
RIDINIM. Van három halom tárgyunk. Egy
lépésben csak az egyik halomból lehet elvenni, mégpedig a következő szabályok
szerint. Az első halomból csak annyit, hogy az elvett elemek száma relatív prím
legyen a halom elvétel előti elemszámához (RI), a másikból annyit, hogy
az elvett elemek száma osztója legyen a halom elemszámának (DI), a
harmadik halomból pedig akármennyit el lehet venni (NIM).
Induljunk ki három 10 elemű halomból. Az első
halom Grundy-száma R10=0, a másodiké 2, a harmadiké 10. Tehát
Kezdőnek van nyerő stratégiája, s az egyetlen jó kezdő lépése az, ha a harmadik
halomból 8 elemet elvesz.
Nemcsak a HALOM hanem például a
LÉTRÁ-t is lehet NIM-szerűen játszani, például a következőképpen.
HEGYMÁSZÓ. Három hegymászó egy 5000 méter
magas hegyet akar megmászni. A hegyen 1000 méterenként egy-egy menedékház van,
a hegymászók ott megpihenhetnek, akár mindhárman egy házban (20. ábra). A három
hegymászó közül az egyik még gyakorlatlan, egy alkalommal csak az 1000 méterrel
feljebb levő manadékházig képes menni. A második akár 1000, akár 2000 métert
tud haladni, míg a legügyesebb a harmadik menedékházhoz is fel tud érni.
20. ábra
A játékosok felváltva egy-egy hegymászót
visznek a mondott megszorításokkal valamelyik magasabban fekvő menedékházba. Az
nyer, aki az utolsó hegymászót is a csúcsra viszi.
A játék elemzését az Olvasóra hagyjuk.
21. ábra
Jelöljük általában dn-nel azt
a pozíciót, melyet n egymás mellett álló bábu alkot, és legyen
Dn az ehhez a pozícióhoz tartozó Grundy-szám. Például a
21. ábrán látható pozíció nem más, mint d4+d1+d3+d2, és értéke D4 D4=lkkz (D2,
D1 D5=lkkz (D3,
D2 Módosítsuk egy cseppet a játékot: mondjuk ki,
hogy nem szabad egyetlen bábut ledönteni, mindig két szomszédosat
kell eltalálniuk. Természetesen papíron is játszhatunk: egy sorba pontokat
rajzolunk.
A soron következő játékos két szomszédos, még
szabad pontot összeköthet. A vesztes természetesen az, aki nem tud lépni.
Legyen ennél a módosított játéknál az n
szomszédos ponthoz tartozó Grundy-szám En. Az
En számokat az előzőekben leírtakhoz hasonlóan számíthatjuk
ki. Például E0=0, E1=0 (mivel egy pont
esetén is Kezdő veszít), E2=1, E3=1,
E4=2 és például
E6=lkkz (E4,
E3 Az En sorozat is periódikus
n Mindkét játék az úgynevezett oktális
játékok családjába tartozik, az első a .77, a második a
.07 számhoz tartozó játék. Általában az
.A1A2A3...
sorozathoz tartozó oktális játék a következő. Ha az Ak Így, mivel 3=21+20, a
.333... játékban bármely halmot akárhány elemmel lehet csökkenteni,
és a megmaradó elemekből 1 vagy 0 részt lehet készíteni (azaz az egész halmot
is el lehet venni). Ez a játék éppen a NIM.
A .77 esetén
7=22+21+20, így bármely halomból 1 vagy 2
elemet lehet elvenni, és a megmaradt elemeket 0, 1 vagy 2 részre lehet
osztani. Ha arra gondolunk, hogy az elemek egy sorban állnak, akkor ez éppen
azt jelenti, hogy a sorból tetszőleges helyről 1 vagy 2 szomszédos elemet
elvehetünk, vagyis éppen Dudeney KUGLI játékát kapjuk.
Általánosabb játékként tekintsük a
.156 játékot. Ebben egyetlen elemet akkor vehetünk el, ha az egyedül
alkot egy halmot (mivel 1=20); két elemet akkor vehetünk el, ha
ezzel vagy az egész halmot elvesszük, vagy a maradékból két
további nem-üres halmot csinálunk (mert 5=22+20); végül 3
elemet csak 3-nál több elemű halomból vehetünk el, a maradékot viszont (ha
akarjuk) két részre oszthatjuk (hiszen 6=22+21). Ezt a
játékot azért mutatjuk be, mert J. C. Kenyon felfedezte, hogy
Grundy-számai 3479-től kezdve 349 hosszúságú periódust alkotnak.
A többi oktális játék Grundy-számai hasonlóan
viselkednek, Közülük jónéhányat megvizsgáltak és legtöbbjükben a Grundy-számok
valahonnan kezdve periodikus sorozatot alkotnak. A véges sok jeggyel leírható
oktális játékok közül még egynek a Grundy-számairól sem sikerült megmutatni,
hogy nem periodikus sorozatot alkotnak, bár azt sem sikerült igazolni, hogy
ezek a sorozatok mindig periodikusak volnának. R. Guy végtelen sok
oktális játékról megmutatta, hogy Grundy-számai periodikusak: a
.77...777 számú játékban, ha 2k darab
(k Az oktális játékok közül az egyik legegyszerűbb,
ami tulajdonképpen nem is tekinthető igazán oktális játéknak,
P. M. Grundy eredeti játéka. Ebben egy lépésben egy halmot két nem-üres
részre kell szétosztani. A játék Grundy-számait több mint negyedmillióig
megvizsgálták, és noha sok "majdnem-periódust" találtak, a sorozat nem
mutatott periodicitást. Hogy ez a sorozat periodikus-e vagy sem, mindmáig
nyitott kérdés.
[1]
J. D. Williams: Játékelmélet, Műszaki Könyvkiadó, Budapest,
1972.
[2]
Neumann János: Válogatott előadások és tanulmányok,
Közgazdasági és Jogi Könyvkiadó, 1965.
[3]
Ilyen játékokat írt le Vargha Balázs: Játékkoktél, Minerva
Kiadó, 1967, könyvének 128-294. oldalain
[4]
J. H. Conway: On numbers and games, Academic Press, 1976

3. Grundy-számok
n 0 1 2 3 4
5 6 7 8 9 10 11
12 13 14 15 16 17
18 19 20 Rn 0 1 0 2
0 3 0 4 0 2 0
5 0 6 0 2 0 7
0 8 0
j-vel a
balról számított (i+1)-edik oszlop és felülről számított
(j+1)-edik sor metszéspontjában álló számot. Például a táblázat szerint
3
2=1, valamint 7
8=15. A táblázat szimetrikus a jobbra lejtő átlóra, ezért
i
j=j
i minden (i,j) párra. A felső sorban a
számok egyesével növekszenek, tehát 0
i=i
0=i;
az átlóban pedig (legalábbis ameddig a 10. ábra mutatja) csupa 0 áll, így
i
i=0.
i,j<2n. Ekkor
(i+2n)
j=i
(j+2n)=(i
j)+2n, valamint
(i+2n)
(j+2n)=i
j (11. ábra).
j-t is a kettes számrendszerben. Ekkor minden
helyi értékre az ott álló három számjegy között páros sok (azaz 2 vagy 0)
1-es található.
j számot, és ezt az i és i NIM-összegének
nevezzük. Így például ha a 100=1 100 1002 és az 50=110
0102 számok NIM-összegét keressük, annak utolsó (kettes
számrendszerbeli) helyi értékén 0, az utolsó előttin 1, az azt megelőzőn is 1
stb. áll aszerint, hogy egyezik-e a megfelelő két jegy vagy sem. Így 100
50=1 010 1102=86.
1 100 100 
110 010 1 010 110
j)
k=i
(j
k), azaz a
NIM-összeadás asszociatív. Továbbá - mint már sejtettük -, i
i=0 minden i-re. Ez a korábban
megállapított i
j=j
i és i
0=i összefüggésekkel együtt azt jelenti, hogy a
nemnegatív egészek erre a műveletre nézve csoportot, mégpedig
kommutatív, más néven Abel-csoportot alkotnak. A
művelet egy érdekessége, hogy inverz művelete saját maga:
i-hez j
i-t kell
NIM-adnunk ahhoz, hogy j-t kapjunk:
(j
i)=i
(i
j)=
(i
i)
j=0
j=j.
k<l. Ám
ekkor Xk-ból Xk+1-be,
Xk+1-ből Xk+2-be, ...,
Xl-1-ből Xl=Xk-ba lehet
lépni, így gráfunkban létezik kör, azaz a játék nem véges, ellentétben kiinduló
feltevésünkkel. Az ellentmondás éppen a tétel állítását bizonyítja.
4. Hogyan lehet egy játékot megnyerni?
a) vesztő pozíció Grundy-száma 0;
b) ha egy pozíció Grundy-száma n
0, akkor egyetlen rákövetkező
pozíció Grundy-száma sem n;
c) ha egy pozíció Grundy-száma n>0, akkor a rákövetkező pozíciók
között van n-1, n-2, ..., 1, 0 Grundy-számú pozíció is.
0 számot a következő esetben rendeljük:
1. ha n a legkisebb kizártja azoknak a számoknak, amelyek X
megszámozott rákövetkezőihez tartoznak;
2. ha X minden szám nélküli rákövetkezőjének van olyan megszámozott
rákövetkezője, melynek Grundy-száma éppen n.
5. Játékok összege
j2, vagyis
j1 és j2 NIM-összege.
h. Ezt a
Grundy-számok előállítására vonatkozó szabály alapján indukcióval igazoljuk,
ebből a tétel állítása azonnal adódik.
0 = 0.Erre az esetre
tehát igaz az állítás.
h,
az (X, Yj) pozíció
Grundy-száma g
hj (itt i
n; j
m, és n=0 vagy m=0 is lehetséges). Mivel X és
Y Grundy-száma a rákövetkezőihez tartozó számok legkisebb kizártja, azaz
h, ..., gn
h,
g
h1, ..., g
hm).
h. Ez két dolgot jelent. Egyrészt azt, hogy g
h nem fordul elő a zárójelben felsoroltak
között, másrészt azt, hogy minden (g
h)-nál kisebb érték szerepel. Kezdjük az elsővel. Ha g
h=gi
h
volna, akkor ennek mindkét oldalához h-t NIM-adva
0=g
(h
h)= (g
h)
h=(gi
h)
h=gi
(h
h)=gi
0,
h=g
hj sem állhat
fenn h
hj miatt. Így
g
h valóban nem fordul elő
(2)-ben a zárójelen belül.
h NIM-összeg definíció szerint a (g-1)
h, ..., 1
h, 0
h és a
g
(h-1), ..., g
1, g
0
számok legkisebb kizártja (10. ábra). Az (1) feltétel szerint a
g1, ..., gn legkisebb kizártja g, így a
g1, ..., gn között a g-1, ..., 1, 0 számok mind
megtalálhatók. Következésképpen (2)-ben a g-1
h, ..., 0
h
mindegyike, s ugyanezért a g
h-1, ..., g
0
mindegyike is szerepel. Így (2) értéke legalább g
h, mivel több szám kizártja nem lehet kisebb, mint egy
részhalmazuké. De g
h nem
szerepel közöttük, azért (2) értéke valóban g
h. Ezzel igazoltuk a 8. tételt.
j=0, ami a 6. tétel alapján Második nyerő stratégiájának
létezését tanúsítja. Másodiknak úgy kell lépnie, hogy a két játékban mindig
egyforma Grundy-számú pozíciót állítson elő. Ilyen lépésből természetesen több
is lehet, de nem feltétlenül vezet ezek mindegyike közelebb a
győzelemhez. Például, ha két DUGÓ játékot játszanak egyszerre - vagy ami
ugyanaz, kezdeben két autó indul ugyanabból a városból (mindegy, hogy
melyikből), és egy lépésben az egyik autót vihetik tovább -, akkor
Második biztosan nyer.
0
2=3. Így Kezdőnek van nyerő stratégiája. Egyrészt
arra kell ügyelnie, hogy minden lépése után a három autó alatt álló szám
NIM-összege 0 legyen - ez könnyű -, másrészt arra, hogy a játék befejeződjön,
ez már nehezebb. Ez utóbbi cél elérése érdekében célszerű, ha mindig olyan
lépést választ, amelyben a mozgatott autó kisebb Grundy-számú pozícióba
lép, de persze ez nem elég. Kezdőnek két olyan indulása is van, mellyel az
összjáték Grundy-száma nullává válik: az egyikben az A-beli autót
B-be, a másikban a P-beli autót N-be kell irányítania. Ha
gyors győzelmet akar elérni, célszerű a második lehetőséget választania, ebben
az autó egy 2 Grundy-számú pozícióról egy 1, azaz kisebb számú pozícióba
lép. Az A
B lépés viszont több
kombinációra ad lehetőséget, talán az ellenfél nagyobb kedvvel veti bele magát
a reménytelen küzdelembe.
6. további játékok: a NIM és családja
Több HALOM játék összege az ismert NIM játék:
0
0
3
1
1
3
5=1. Kezdő tehát nyer, első
lépésével a negyediktől a nyolcadik sorig bármelyikben kell egy mezővel kell
közelednie ellenfeléhez. Ha Második hátrál, Kezdő ugyanannyival utánnamegy,
hogy a figurák közti távolság ne változzék. Ha pedig Második támad, azaz egyik
gyalogját közelebb húzza Kezdő megfelelő gyalogjához, akkor a sornak
megfeleltetett halmot csökkenti, és Kezdő a NIM játék stratégiája
szerint válaszolhat, ami - szükség szerint - ugyanabban vagy egy másik sorban
történik meg.
l
k+l < n0 miatt
nem lehet nulla, tehát hiába növelte a hálmok számát.
4
6
2
7
1
3
5=4, vagyis Kezdőnek van nyerő stratégiája. Jó
kezdő lépés például az, ha a legfelső sorból az első négy fát kivágja.
3
7
10=12. Ebből 0 Grundy-számú pozíciót csak a 10
elemű halomnak 6 eleműre való csökkentésével lehet elérni, tehát az egyetlen
nyerő lépés az, ha a 10. és a 6. korongot megfordítjuk.
elemszám 0 1 2 3> 4
5 6 7 8 9 10 11
12 13 14 15 16 17
18 19 20 Grundy-szám 0 1 2 1 3
1 2 1 4 1 2 1
3 1 2 1 5 1 2
1 3
7. Oktális játékok, egy megoldatlan probléma
KUGLI. Ezt a játékot H. E. Dudeney (1847-1930) híres angol
rejtvényszerző írta le először. A játék alapja egy 14. századbeli népszerű
francia labdajáték - a quilles -, mely kétségtelenül a mai kugli (és
teke) őse. A játékhoz több kuglibábut állítunk fel egy sorba, egymás mellé
(21. ábra). A játékosok olyan ügyesek, hogy a kugligolyóval akaratuk szerint
bármelyik bábut vagy bármely két szomszédos bábut le tudják dönteni. Egymástól
távolabb levő bábukat viszont lehetetlen egyszerre ledönteni. A játékot az
nyeri, aki az utolsó bábut dönti le.
D1
D3
D2. Egy lépés után a dn
pozícióból mindazokba, és csak azokba a da+db
összeggel jelzett pozíciókba kerülhetünk, ahol a+b vagy (n-1)-gyel, vagy (n-2)-vel egyenlő. Ennek alapján a
Dn értéket sorban meghatározhatjuk. Nyilvánvalóan
D0=0 és D1=1. A d2
pozíció lehetséges rákövetkezői d0 és d1,
így D2=lkkz (D0,
D1)=2. Hasonlóan D3 rákövetkezői
d1, d2, valamint d1+d1, ez utóbbi azt az esetet jelöli, amikor a három szomszédos
bábu közül a középsőt döntjük le. Így D3=lkkz
(D0, D1, D1+D1)=lkkz (1, 2, 0)=3. Hasonlóan továbbmenve
D1,
D3, D2
D1)=lkkz (2, 0, 3, 2
0)=1,
D1,
D4, D3
D1, D2
D2)=lkkz (3, 2
1, 1, 3
1, 2
2)=4.
72-re 12 hosszúságú periódussal. A következő táblázatban a Dn
értéket 12 hosszúságú sorokba tördelve mutatjuk be, az utolsó sor ismétlődik,
az adja a periódust.
n 0 1 2 3
4 5 6 7 8 9
10 11 0 0 1 2 3 1 4 3 2 1 4 2 6 12 4 1 2 7 1 4 3 2 1 4 6 7 24 4 1 2 8 5 4 7 2 1 8 6 7 36 4 1 2 3 1 4 7 2 1 8 2 7 48 4 1 2 8 1 4 7 2 1 4 2 7 60 4 1 2 8 1 4 7 2 1 8 6 7 72 4 1 2 8 1 4 7 2 1 8 2 7 84 4 1 2 8 1 4 7 2 1 8 2 7
E1,
E2
E2)=lkkz (2, 1
0, 1
1)=3.
68-ra, 34 hosszúságú periódussal:
n 0
5 10 15 20 25 30 0 00112 03110 33224 05223 30113
02110 4527 34 40112 03110 33224
45523 30113 02110 4537 68 48112 03110 33224
45593 30113 02110 4537 102 48112 03110 33224
45593 30113 02110 4537
0 "számjegy" kettes számrendszerbeli alakja éppen
2a+2b+..., ahol a,b stb. egymástól
különböző nemnegatív egészek, akkor egy szabályos lépésben bármely
rendelkezésre álló halmot k elemmel lehet csökkenteni, majd a
vagy b stb. nem üres részre kell szétbontani.
1) hetes szaerepel, a Grundy-számok
36.2k-tól kezdve 6.2k
hosszúságú periódust alkotnak.
Irodalom
Számítógépes programok
Három játékot Java applet formájában beprogramoztunk. Ezeket a kedves Olvasó a
számítógép ellen játszhatja. A játékok közül csak az első kettő szerepel a
cikkben, de a harmadik játék nyerő stratégiáját is meg lehet találni a
Grundy-számozás segítségével.



