![]() |
A 2002. novemberi informatika feladatok megoldása |
A közöltek csak megoldásvázlatok, esetleg csak végeredmények. A maximális pontszám eléréséhez általában ennél részletesebb megoldás szükséges. A részletes megoldásokat a beküldött dolgozatok alapján a KöMaL-ban folyamatosan közöljük.
I. 34. A binomiális együtthatók
felhasználhatók számok speciális számrendszerben, az ún. binomiális
számrendszerben való felírására. Rögzített m (2
m
50) esetén minden
nemnegatív n (0 \(\displaystyle \le\)n \(\displaystyle \le\)10 000) szám egyértelműen felírható az alábbi formában:
, ahol 0
\(\displaystyle \le\)a1 < a2 < ...<
am.
Készítsünk programot (I34.pas, ...), amely beolvassa n és m értékét, majd kiírja a hozzá tartozó a1,a2,..., am értékét!
Pl.: n=41 esetén a1 = 1, a2 = 2, a3 = 4, a4 = 7, azaz
\(\displaystyle 41={1\choose1}+{2\choose2}+{4\choose3}+{7\choose4}=1+1+4+35.\) (10 pont)
Megoldás:
Algoritmus Be: A felbontandó szám: N; Be: A tényezők száma: M; binom(100);Ez az eljárás számolja ki a Pascal-háromszöget az N. soráig.
n0:=n;Az m darab tényezőt a legnagyobbtól kezdve határozzuk meg, úgy hogy közben az N értéke egyre csökken. A minden sorban a legnagyobb megfelelő elemet választjuk ki.
ciklus i:=m-től 1-ig -1-esével
j:=0;
ciklus amíg b[j+1,i]<=n
j:=j+1;
ciklus vége;
Ha n=0
akkor
a[i]:=0
különben
a[i]:=b[j,i];
c[i]:=j;
elágazás vége;
n:=n-a[i];
ciklus vége;
Végül kiíratjuk az összeget.
Ki: n0 =;
ciklus i:=1-től m-1-ig
Ki: a[i] +;
ciklus vége;
Ki: a[m];
ciklus i:=1-től m-ig
Ki: c[i];
ciklus vége;
algoritmus vége;
A binom eljárás számolja ki a Pascal-háromszöget.
Eljárás binom(n: egész);
változók
i,j: egész;
Az első oszlopban és az átlóban egyesek vannak.
ciklus i:=0-től n-ig
b[i,i]:=1;
b[i,0]:=1;
ciklus vége;
A minden egyes elem a fölötte levő kettő összegével egyenlő.
ciklus i:=1-től n-ig
ciklus j:=1-től i-1-ig
b[i,j]:=b[i-1,j-1]+b[i-1,j];
ciklus vége;
ciklus vége;
eljárás vége;
I. 35. Egy R sugarú, H magasságú henger palástja alján elhelyezünk egy hangyát. A hangya percenként M centimétert mászik felfelé. A hengert tengelye (ami a koordinátarendszer Z tengelye) körül megforgatjuk az óramutató járásával ellentétes irányban, egy fordulatot T perc alatt tesz meg. A hangya az (R,0,0) pontból indul, és pályáját az Y=0 síkra vetítjük. A vetítősugarak az Y-tengellyel ALFA fok szöget zárnak be (1. ábra).
![]() | ![]() |
| 1. ábra | 2. ábra |
Készítsünk programot (I35.pas, ...), amely
beolvassa R (1 \(\displaystyle \le\)R\(\displaystyle \le\)50), H (1 \(\displaystyle \le\)
H
200), M (1
M
H), T
(1
T 
100) és ALFA (0
ALFA<90)
értékét, majd az Y=0 síkra vetített ábrát rajzol a hangya
pályájáról a henger látható oldalán folytonos, hátoldalán pedig
pontozott vonallal.
R=50, H=200, M=1, T=40, ALFA=30 esetén a 2. ábrán látható rajzot kapjuk. (10 pont)
Megoldás:
Hangya;
változók
x,y,z,tt: valós;
m,h,r,t,alfa,y1,z1: valós;
Az adatok beolvasásakor az alfa dőlésszöget fokban olvassuk be, de rögtön radiánba átírjuk, mert azzal fogunk számolni.
Be: A henger magassága: H; Be: A henger sugara: R; Be: Percenkénti felfelé haladás: M; Be: Egy forgás ideje: t; Be: Dőlésszőg: alfa; alfa:=-alfa/180*3.14159; x:=r; y:=0; z:=0; tt:=0; z1:=0;Beállítjuk a grafikus felületet. A grafikus kurzort a kép közepére állítjuk.
Megjegyzés: Az XZ síkot fogjuk kirajzolni.
Grafikus_Felület_Inicializálása; HelyezésXYhoz(Kerekít(x)+MaxX div 2,-Kerekít(z)+MaxY div 2);Az aljától a tetejéig megyünk. tt az aktuális idő, lépésenként. Kiszámítjuk a koordinátákat, majd a pont helyétől függően kirajzoltatjuk az utat, mint egy szakasz.
ciklus amíg z1<h+m/t
tt:=tt+1;
x:=r*cos(tt/t*2*3.14159);
y1:=r*sin(tt/t*2*3.14159)*cos(alfa);
z1:=m*tt;
Ha y1>0
akkor Vonal_Beállítása(Szaggatott)
különben Vonal_Beállítása(Folytonos);
elágazás vége;
y:=y1*cos(alfa)+z1*sin(alfa);
z:=-y1*sin(alfa)+z1*cos(alfa);
SzakaszRajzolásXYig(Kerekít(x)+MaxX div 2,-Kerekít(z)+MaxY div 2);
ciklus vége;
Végül lezárjuk a grafikus felületet.
Grafikus_Felület_Lezárása; algoritmus vége;
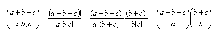
I. 36. A trinomiális tétel szerint:

A képletben használt zárójeles formula az ún. trinomiális együtthatókat tartalmazza, melyeket az alábbi képlettel is számolhatunk:

Az ebben a képletben szereplő faktoriális értékek azonban túlságosan nagyok, így kiszámításuk nem mindig végezhető el. A trinomiális együtthatók kiszámítása azonban visszavezethető binomiális együtthatók szorzatára is, ami ezt a problémát megoldja.
Készítsünk táblázatot (I36.xls), amelynek egy adott
mezőjébe beírva n (n= a+b+c,
n
20)
értékét, az alábbi jellegű táblázatot kapjuk a trinomiális
együtthatókról!
Példa: n=5 esetén a táblázat:
|
(10 pont)
Megoldás:
Valóban a trinomiális együtthatók kiszámítása lehetséges a binomiális együtthatók szorzásával a következő módon:

Így az első lépés a binomiális együtthatók kiszámítása oly módon, hogy az A oszlopba egyeseket (1) írunk míg az 1. sorba nullákat (0) a második mezőtől kezdve. A többi mezőben pedig kiszámítjuk a felette és az a melletti mező összegét. Így:
c6:=B5+C5A B23-as cellában az N értékét írjuk.
A B25:L35-ös mezőben pedig kiíratjuk a trinomiális együtthatókat. A sorokban az "a" értéke, míg az oszlopokban a "b" értéke már egyértelműen meghatározza a "c"-t is, hiszen c=N-a-b. A cellákba nullát (0) vagy a megfelelő szorzatot kell írni, "a" és "b" függvényében (az indexek függvényében). Nullától indexelünk, és N-ig megyünk. Ezért vonunk le az oszlop és sor indexekből 2-t illetve 25-t. A binomiális együtthatók szorzatát is indexek segítségével számoljuk ki.
Az INDEX függvényhez meg kell adni a tartományt, ami a binomiális együtthatók értékeinek tartománya, vagyis az A1:U21 tartomány. Majd meg kell adni a sor illetve oszlop indexek értékét. Nullától indexelünk ezért mindenhol hozzá kell adni egyet. Kell az N-edik sorban a (b+c)-dik vagyis az (N-a)-dik oszlopban levő mező és az (N-a)-dik sorban az (N-a-b) vagyis a "c"-dik mező értéke a szorzáshoz.
c26:=HA(OSZLOP()-2+SOR()-25>$B$23;
0;
INDEX($A$1:$U$21;
$B$23+1;
$B$23-(OSZLOP()-2)+1
)*
INDEX($A$1:$U$21;
$B$23-(OSZLOP()-2)+1;
$B$23-(OSZLOP()-2)-(SOR()-25)+1
)
)



