Az 1999. szeptemberi számban kitűzött fizika elméleti feladatok megoldásai
Bizonyos feldatoknál a megoldás vázlatát, esetleg a végeredményt közöljük.P. 3264. A "600-as cement"-nél a számérték azt jelzi, hogy a belőle készült betonlap 1 cm2-es keresztmetszete 600 kg súlyát bírja el. Tízszeres biztonság betartásával milyen magas betontorony készíthető ebből a cementből? A beton sűrűsége 2500 kg/m3. (3 pont)
Hatvani István verseny, Debrecen
Megoldásvázlat.
P. 3265. Egy nagy hőszigetelt tartályba két csapon keresztül engedünk vizet. Az egyik csapból percenként 7 liter 12 oC-os, a másikból percenként 4 liter 60 oC-os víz folyik. A hidegvizes csap 8 percig volt nyitva. Mennyi ideig kell nyitva tartani a melegvizes csapot ahhoz, hogy összekeveredés után a víz hőmérséklete a tartályban 36 oC legyen? (3 pont)
"Keresd a megoldást!" verseny, Szeged
Végeredmény.
t=14 s.
P. 3266. Jégesőben egy jégdarab 6 m/s sebességgel csapódik egy parkoló autó tetejére. Legfeljebb milyen magasra csapódik vissza, ha ütközéskor elveszti mozgási energiájának 60 %-át? (3 pont)
Frank János verseny, Szeged
Megoldásvázlat.
P. 3267. Két egyforma, nyitott szájú lombik közül az egyik az árnyékban, a másik pedig a tűző napon áll egy kertben. Az idő szélcsendes. Melyik lombikban nagyobb a levegő energiája
- a) ha az üveg hőtágulása elhanyagolható;
b) ha az üveg hőtágulása nem hanyagolható el?
(4 pont)
Vermes Miklós verseny, Szeged
Megoldásvázlat.
P. 3268. Az asztalon egy pohárban szódavíz van. Körülbelül hány CO2 molekula található egy 1 mm átmérőjű buborékban? (4 pont)
Becslési verseny, Sárospatak
Megoldásvázlat.
P. 3269. Könnyen mozgó, M tömegű kiskocsira fonálingát függesztettünk. Az ingatest tömege m, a fonál hossza l. A kocsit rögzítve az ingát kicsit kitérítjük, majd magára hagyjuk. A lengésidő megmérése után megismételjük a kísérletet úgy is, hogy a kiskocsit nem rögzítjük. Hogyan változik az inga lengésideje? (4 pont)
Károly Ireneusz verseny, Sárospatak
Megoldásvázlat.
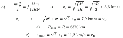
P. 3270. Az R=6370 km sugarú Föld körül r=2R sugarú körpályán kering egy mesterséges hold. Egy adott pillanatban a Föld középpontja felé irányuló sebességet kap. A lendületváltozás nagysága megegyezik a mesterséges hold korábbi lendületének nagyságával.
- a) Határozzuk meg a mesterséges hold sebességét a lendületváltozás
utáni pillanatban!
b) Milyen távolságra közelíti meg a mesterséges hold a Föld középpontját?
c) Mekkora a sebessége a Földhöz legközelebbi pontban?
(5 pont)
Párkányi László verseny, Pécs
Megoldásvázlat.
P. 3271. Egy 5-szörös nagyítású Kepler-távcső objektívjének átmérője 84 mm, fókusztávolsága 1 m, az okulár átmérője 12 mm. Legfeljebb mekkora látószögben levő csillagokat lehet ezzel a távcsővel egyszerre látni? (5 pont)
Kulin György verseny, Székesfehérvár
Megoldásvázlat.
P. 3272. Tegyük fel, hogy az 1800 MW villamos teljesítményt szolgáltató, 30 % hatásfokú paksi atomerőmű maradékhőjét a befagyott Balaton 10 cm vastag jégrétegének felolvasztására használjuk. Mennyi idő alatt olvadna fel ez a jégmennyiség? Mekkora felületet kellene napelemekkel befedni egy olyan naperőmű építésénél, amelynek villamos csúcsteljesítménye megegyezne a paksi erőmű állandó villamos teljesítményével? (A Föld felszínére érkező napsugárzás energiája kb. 1 kW/m2.) (4 pont)
Szilárd Leó verseny, Paks
Megoldásvázlat.
P. 3273. Egy fűthető kemencén nagyon kis lyuk van. A kemencén kívül 0 oC hőmérsékletű, 100 kPa nyomású levegő van. A kemencében levő levegőt a fűtőrendszer állandóan 57 oC hőmérsékleten tartja. Kellő idő elteltével a kemencében a levegő nyomása állandósul. Adjunk becslést ennek az állandósult nyomásnak a nagyságára! (6 pont)
Mikola-verseny döntő, Gyöngyös, 1998
Megoldásvázlat.

